Non Disclosure Agreement (NDA): Jenis, Isi, & Contohnya [+Gratis Template]
Non Disclosure Agreement (NDA) adalah kontrak hukum untuk menjaga kerahasiaan informasi sensitif agar tidak dibocorkan atau disalahgunakan.
Table of Contents
- Apa Itu Non Disclosure Agreement (NDA)?
- Fungsi Non Disclosure Agreement (NDA) dalam Dunia Kerja
- Jenis-Jenis Non Disclosure Agreement
- Isi dalam Dokumen Non Disclosure Agreement
- 10 Contoh Non Disclosure Agreement di Perusahaan
- Download Contoh Non Disclosure Agreement Gratis!
- Risiko Jika Tidak Menggunakan Non Disclosure Agreement
- Peran HRIS dalam Mengelola NDA Karyawan
- Kelola Database Karyawan Karyawan Lebih Praktis & Aman lewat KantorKu HRIS!
Table of Contents
- Apa Itu Non Disclosure Agreement (NDA)?
- Fungsi Non Disclosure Agreement (NDA) dalam Dunia Kerja
- Jenis-Jenis Non Disclosure Agreement
- Isi dalam Dokumen Non Disclosure Agreement
- 10 Contoh Non Disclosure Agreement di Perusahaan
- Download Contoh Non Disclosure Agreement Gratis!
- Risiko Jika Tidak Menggunakan Non Disclosure Agreement
- Peran HRIS dalam Mengelola NDA Karyawan
- Kelola Database Karyawan Karyawan Lebih Praktis & Aman lewat KantorKu HRIS!
Non Disclosure Agreement (NDA) menjadi salah satu dokumen penting dalam dunia kerja modern, terutama di tengah meningkatnya kebutuhan perlindungan data dan informasi bisnis.
Baik perusahaan rintisan, korporasi besar, hingga pelaku usaha skala kecil kini semakin sadar bahwa menjaga kerahasiaan informasi bukan lagi pilihan, melainkan keharusan.
Penelitian yang dipublikasikan dalam jurnal International Journal for Equity in Health menemukan bahwa penggunaan confidentiality agreement atau NDA dalam sektor kesehatan global dapat membatasi transparansi harga dan informasi, terutama dalam pengadaan obat.
Studi ini menyoroti bahwa adanya NDA sering kali membuat data penting seperti efektivitas dan harga obat, tidak dapat diakses publik, sehingga berpotensi memengaruhi efisiensi kebijakan dan pengambilan keputusan berbasis data.
Dalam praktiknya, non disclosure agreement digunakan untuk melindungi berbagai jenis informasi sensitif, mulai dari strategi bisnis, data karyawan, hingga rahasia dagang, agar tidak disalahgunakan oleh pihak yang tidak berwenang.
Tanpa adanya NDA, risiko kebocoran informasi bisa berdampak serius, mulai dari kerugian finansial hingga rusaknya reputasi perusahaan.
Lalu, apa sebenarnya yang dimaksud dengan non disclosure agreement, bagaimana fungsinya dalam dunia kerja, dan kapan dokumen ini perlu digunakan?
Artikel ini akan membahasnya secara lengkap untuk membantu Anda memahami pentingnya NDA dalam menjaga keamanan informasi bisnis.
Apa Itu Non Disclosure Agreement (NDA)?

Dalam operasional bisnis sehari-hari, non disclosure agreement adalah sebuah kontrak hukum yang mengikat secara sah antara dua pihak atau lebih, yang bertujuan untuk menjaga kerahasiaan informasi tertentu.
Menurut penelitian di Amsir Law Journal, NDA memiliki kekuatan hukum yang mengikat setara dengan undang-undang bagi para pihak yang menandatanganinya, berdasarkan prinsip pacta sunt servanda.
Studi ini juga menunjukkan bahwa pelanggaran NDA dapat berujung pada tuntutan ganti rugi hingga sanksi hukum, terutama jika berkaitan dengan pelanggaran rahasia dagang.
Anda mungkin sering mendengar istilah ini sebagai perjanjian kerahasiaan, di mana pihak-pihak yang terlibat berjanji untuk tidak membocorkan informasi rahasia kepada pihak ketiga tanpa izin.
Secara teknis, penggunaan non disclosure agreement di indonesia sangat umum ditemukan saat Anda merekrut karyawan baru atau bekerja sama dengan mitra bisnis.
Dalam hal ini, menjaga integritas informasi di tempat kerja secara psikologis dapat meningkatkan rasa tanggung jawab karyawan terhadap aset intelektual perusahaan. Dokumen ini memastikan bahwa ide-ide inovatif, strategi pemasaran, hingga daftar klien Anda tetap aman di dalam lingkup internal perusahaan.
- NDA melindungi rahasia dagang (trade secrets).
- Mencegah penyalahgunaan data oleh mantan karyawan.
- Menjamin keamanan informasi selama proses negosiasi bisnis.
Amankan data rahasia Anda melalui fitur manajemen dokumen digital yang canggih di KantorKu HRIS.
Fungsi Non Disclosure Agreement (NDA) dalam Dunia Kerja
Fungsi Non Disclosure Agreement (NDA) dalam dunia kerja tidak hanya sebatas menjaga kerahasiaan, tetapi juga menjadi instrumen penting untuk melindungi kepentingan bisnis secara menyeluruh.
Berikut penjelasan yang lebih lengkap, detail, dan terstruktur:
1. Melindungi Informasi Rahasia
Dalam operasional bisnis sehari-hari, perusahaan sering kali harus membagikan informasi sensitif kepada karyawan, mitra, atau pihak ketiga.
NDA berperan penting untuk memastikan bahwa informasi tersebut tetap aman dan tidak bocor ke pihak yang tidak berwenang, baik secara sengaja maupun tidak sengaja.
Contoh informasi yang dilindungi:
- Data karyawan
- Strategi bisnis
- Rencana pemasaran
- Laporan keuangan
- Rahasia dagang
2. Mencegah Penyalahgunaan Informasi
Tidak semua risiko datang dari kebocoran, tetapi juga dari penyalahgunaan informasi oleh pihak yang memang memiliki akses. NDA mengatur secara rinci bagaimana informasi boleh digunakan, sehingga mencegah potensi penyimpangan yang bisa merugikan perusahaan.
Batasan yang biasanya diatur:
- Tidak digunakan untuk kepentingan pribadi
- Tidak dibagikan ke pihak ketiga
- Tidak dimanfaatkan untuk kompetitor
- Hanya digunakan sesuai tujuan kerja sama
3. Memberikan Perlindungan dan Kepastian Hukum
NDA bukan sekadar kesepakatan informal, melainkan dokumen legal yang memiliki kekuatan hukum. Dengan adanya perjanjian ini, perusahaan memiliki landasan yang jelas untuk mengambil tindakan jika terjadi pelanggaran kerahasiaan.
Manfaat dari sisi hukum:
- Ada dasar hukum yang jelas
- Bisa menuntut ganti rugi
- Mengatur sanksi pelanggaran
- Meminimalkan konflik bisnis
4. Menjaga Kepercayaan dalam Hubungan Profesional
Dalam hubungan kerja maupun kemitraan bisnis, kepercayaan adalah fondasi utama. NDA membantu menciptakan rasa aman bagi semua pihak untuk berbagi informasi penting tanpa khawatir disalahgunakan, sehingga kerja sama dapat berjalan lebih efektif.
Dampak positifnya:
- Meningkatkan kepercayaan
- Memperkuat profesionalisme
- Memperlancar kerja sama
- Mengurangi kekhawatiran berbagi data
5. Melindungi Aset dan Hak Kekayaan Intelektual
Banyak perusahaan memiliki ide, inovasi, atau konsep yang belum dipublikasikan dan memiliki nilai bisnis tinggi. NDA memastikan bahwa aset intelektual tersebut tetap terlindungi dari risiko pencurian, penjiplakan, atau klaim sepihak oleh pihak lain.
Yang termasuk aset intelektual:
- Ide produk baru
- Konsep bisnis
- Desain atau prototipe
- Sistem atau teknologi internal
6. Mengatur Akses dan Distribusi Informasi
Tidak semua informasi boleh diakses oleh semua orang. NDA membantu mengatur siapa yang berhak mengetahui informasi tertentu, bagaimana cara penggunaannya, serta batasan distribusinya agar tetap terkendali.
Pengaturan yang biasanya ada:
- Pihak yang berhak mengakses
- Batasan distribusi informasi
- Jangka waktu kerahasiaan
- Prosedur penggunaan data
7. Mengurangi Risiko Kerugian Bisnis
Kebocoran atau penyalahgunaan informasi dapat berdampak serius terhadap keberlangsungan bisnis, baik dari sisi finansial maupun reputasi. NDA hadir sebagai langkah preventif untuk meminimalkan berbagai risiko tersebut sejak awal.
Risiko yang bisa dicegah:
- Kerugian finansial
- Kehilangan keunggulan kompetitif
- Penurunan kepercayaan klien
- Kerusakan reputasi brand
Jenis-Jenis Non Disclosure Agreement
Anda perlu mengetahui bahwa tidak semua NDA itu sama; penggunaannya sangat bergantung pada konteks hubungan kerja yang sedang Anda bangun.
Berikut adalah rincian jenis NDA berdasarkan kategorinya untuk membantu Anda menentukan mana yang paling tepat untuk bisnis Anda:
1. Non Disclosure Agreement Berdasarkan Jumlah Pihak
Sebelum Anda mencari non disclosure agreement pdf untuk dapat diunduh, maka pahami terlebih dahulu pembagian berdasarkan jumlah pihak yang terlibat agar tidak salah sasaran dalam memberikan proteksi.
a. Unilateral NDA (One-Way NDA)
Unilateral NDA adalah jenis yang paling umum digunakan dalam lingkup HR saat Anda merekrut karyawan. Dalam jenis ini, hanya satu pihak (karyawan) yang setuju untuk merahasiakan informasi milik pihak lain (perusahaan).
- Cocok untuk hubungan atasan dan bawahan.
- Fokus pada perlindungan aset perusahaan dari satu arah.
- Sering digunakan dalam paket kontrak kerja standar.
b. Bilateral NDA (Mutual NDA)
Jenis bilateral NDA biasanya Anda gunakan saat melakukan penjajakan kerja sama strategis dengan perusahaan lain atau vendor besar. Kedua belah pihak saling berbagi informasi rahasia dan keduanya berkomitmen untuk menjaga rahasia tersebut.
- Menjamin kesetaraan dalam perlindungan data.
- Digunakan dalam proses merger atau akuisisi.
- Memastikan kedua perusahaan tidak saling mencuri ide bisnis.
c. Multilateral NDA
Jika Anda sedang menjalankan proyek konsorsium yang melibatkan tiga pihak atau lebih, maka jenis inilah yang Anda butuhkan. Semua pihak yang terlibat dalam lingkaran proyek tersebut sepakat untuk saling melindungi informasi satu sama lain.
- Efisien untuk proyek kolaborasi besar.
- Menghindari tumpang tindih dokumen perjanjian yang berlebihan.
- Mencakup perlindungan data lintas organisasi.
2. Non Disclosure Agreement Berdasarkan Tujuan Penggunaan
Kemudian, setiap tujuan bisnis memerlukan pendekatan yang berbeda dalam penyusunan draf kerahasiaan agar mencakup poin-poin spesifik yang relevan.
a. Employee NDA (NDA Karyawan)
Ditujukan khusus untuk menjaga rahasia operasional internal oleh staf Anda. Anda bisa menggunakan non disclosure agreement word format untuk menyesuaikan poin-poin tugas spesifik karyawan tersebut.
- Melindungi data gaji, struktur organisasi, dan strategi internal.
- Mencegah pembocoran daftar klien setelah karyawan berhenti (poin non-solicitation).
- Wajib ditandatangani sebelum hari pertama bekerja.
b. Vendor/Contractor NDA
Penting bagi Anda saat menggunakan jasa pihak ketiga, seperti agensi IT atau konsultan pajak, yang mengharuskan mereka mengakses data sensitif Anda.
- Membatasi penggunaan data hanya untuk penyelesaian proyek.
- Menetapkan kewajiban penghapusan data setelah kontrak berakhir.
- Mencegah vendor menggunakan portofolio rahasia untuk memikat klien lain.
c. Business NDA
Digunakan dalam lingkup yang lebih luas untuk kemitraan strategis, seperti distribusi barang atau lisensi merek.
- Melindungi rencana ekspansi bisnis.
- Menjamin kerahasiaan metode produksi atau formula produk.
- Berlaku selama periode negosiasi hingga pelaksanaan bisnis.
d. Investor NDA
Saat Anda mencari pendanaan dan harus mempresentasikan pitch deck yang berisi data finansial detail, Anda perlu meminta investor menandatangani dokumen ini.
- Menjaga proyeksi keuangan tetap rahasia.
- Melindungi ide bisnis yang belum dipatenkan.
- Memberikan rasa aman saat membagikan data pertumbuhan perusahaan.
e. IP/Product Development NDA
Khusus digunakan oleh tim R&D atau pengembang produk agar inovasi baru Anda tidak bocor sebelum peluncuran resmi.
- Melindungi desain produk, kode sumber (source code), dan prototipe.
- Sangat krusial untuk sektor teknologi dan manufaktur.
- Menghindari plagiasi produk oleh pihak internal maupun eksternal.
3. Non Disclosure Agreement Berdasarkan Cakupan Waktu
Durasi berlakunya perjanjian juga merupakan aspek yang harus Anda perhatikan agar perlindungan tetap relevan dengan masa pakai informasi tersebut.
a. Term NDA (Berjangka)
Jenis term NDA memiliki masa berlaku tertentu, misalnya 2 atau 5 tahun setelah hubungan kerja berakhir.
- Cocok untuk informasi yang memiliki masa kadaluarsa (seperti kampanye marketing musiman).
- Memberikan kejelasan hukum mengenai kapan informasi tersebut menjadi milik publik.
- Memudahkan proses pengarsipan dokumen di masa depan.
b. Perpetual NDA (Tanpa Batas Waktu)
Jenis perpetual NDA mewajibkan pihak terkait untuk menjaga rahasia selamanya, selama informasi tersebut belum menjadi rahasia umum.
- Digunakan untuk rahasia dagang yang sangat krusial (seperti resep Coca-Cola).
- Perlindungan maksimal untuk aset intelektual jangka panjang.
- Mewajibkan kepatuhan moral dan hukum yang tidak terbatas.
Baca Juga: 10 Contoh Surat Perjanjian Kerja Sama serta Template [+Link Download]
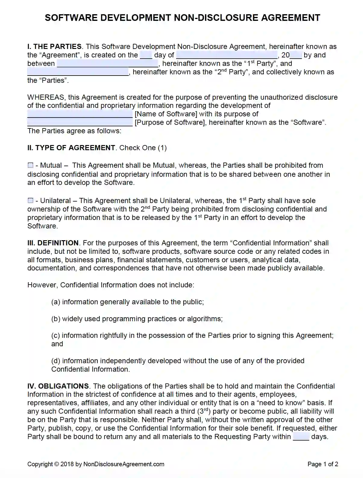
Isi dalam Dokumen Non Disclosure Agreement
Isi dalam dokumen Non Disclosure Agreement (NDA) umumnya cukup detail karena harus mampu mengatur perlindungan informasi secara jelas, terukur, dan memiliki kekuatan hukum. Setiap poin di dalamnya dibuat untuk menghindari celah penyalahgunaan data maupun potensi sengketa di kemudian hari.
Berikut komponen penting yang biasanya terdapat dalam dokumen NDA:
1. Identitas Para Pihak
Bagian ini menjadi fondasi utama dalam NDA karena menentukan siapa saja yang terikat secara hukum dalam perjanjian.
Penulisan identitas harus jelas dan lengkap agar tidak menimbulkan sengketa terkait subjek hukum di kemudian hari, terutama jika melibatkan perusahaan, mitra bisnis, atau pihak ketiga.
Yang biasanya dicantumkan:
- Nama lengkap pihak terkait
- Nama perusahaan (jika ada)
- Alamat resmi
- Peran (pemberi & penerima informasi)
2. Definisi Informasi Rahasia
Agar tidak terjadi perbedaan interpretasi, NDA harus mendefinisikan secara rinci apa yang dimaksud dengan informasi rahasia. Bagian ini sangat krusial karena menjadi acuan utama dalam menentukan apakah suatu informasi termasuk yang dilindungi atau tidak.
Contoh yang didefinisikan:
- Data bisnis dan operasional
- Informasi teknis
- Strategi pemasaran
- Data pelanggan/karyawan
- Dokumen internal perusahaan
3. Tujuan Pengungkapan Informasi
Tidak semua informasi boleh digunakan secara bebas, sehingga NDA perlu menjelaskan tujuan spesifik dari pengungkapan informasi tersebut. Dengan adanya batasan tujuan, penggunaan informasi menjadi lebih terarah dan tidak disalahgunakan di luar konteks yang disepakati.
Tujuan yang umum:
- Kerja sama bisnis
- Proses rekrutmen
- Proyek tertentu
- Due diligence
- Konsultasi profesional
4. Kewajiban Penerima Informasi
Bagian ini mengatur secara detail tanggung jawab pihak penerima dalam menjaga dan menggunakan informasi yang diterima. Kewajiban ini biasanya mencakup standar perlindungan data serta batasan penggunaan agar informasi tetap aman selama kerja sama berlangsung.
Kewajiban yang biasanya ada:
- Menjaga kerahasiaan informasi
- Tidak menyebarkan ke pihak lain
- Menggunakan sesuai tujuan
- Mengamankan data dengan layak
5. Pengecualian Informasi Rahasia
Untuk menjaga keseimbangan dan keadilan dalam perjanjian, NDA juga mengatur kondisi di mana suatu informasi tidak dianggap sebagai rahasia. Hal ini penting agar penerima informasi tidak terbebani oleh kewajiban yang tidak relevan atau di luar kendalinya.
Contoh pengecualian:
- Informasi yang sudah publik
- Informasi yang sudah dimiliki sebelumnya
- Informasi dari pihak ketiga yang sah
- Informasi yang diwajibkan oleh hukum
6. Jangka Waktu Perjanjian
Setiap kewajiban dalam NDA memiliki batas waktu tertentu, sehingga bagian ini mengatur durasi berlakunya perjanjian dan kewajiban menjaga kerahasiaan. Dalam banyak kasus, kewajiban ini tetap berlaku meskipun hubungan kerja sama telah berakhir.
Yang biasanya diatur:
- Durasi perjanjian
- Masa berlaku kerahasiaan
- Ketentuan setelah kontrak berakhir
7. Sanksi dan Konsekuensi Pelanggaran
Kemudian, agar NDA memiliki daya ikat yang kuat, perlu dicantumkan sanksi yang jelas jika terjadi pelanggaran. Bagian ini berfungsi sebagai bentuk perlindungan sekaligus deterrent effect (efek jera) bagi pihak yang berpotensi melanggar.
Bentuk sanksi:
- Ganti rugi finansial
- Denda tertentu
- Tindakan hukum
- Pemutusan kerja sama
8. Pengembalian atau Pemusnahan Informasi
Setelah tujuan kerja sama selesai, NDA mengatur bagaimana informasi yang telah dibagikan harus diperlakukan. Hal ini penting untuk memastikan bahwa tidak ada data yang tetap beredar atau disimpan tanpa izin setelah hubungan berakhir.
Ketentuan yang umum:
- Mengembalikan dokumen
- Menghapus data digital
- Memusnahkan salinan
- Larangan menyimpan arsip
9. Hukum yang Berlaku (Governing Law)
Dalam kerja sama yang melibatkan lebih dari satu wilayah atau entitas, penting untuk menentukan hukum mana yang akan digunakan jika terjadi sengketa. Bagian ini memberikan kepastian terkait yurisdiksi dan mekanisme penyelesaian masalah.
Yang biasanya dicantumkan:
- Yurisdiksi hukum
- Domisili pengadilan
- Mekanisme penyelesaian sengketa
10. Ketentuan Tambahan (Miscellaneous)
Bagian ini berisi klausul pelengkap yang mendukung keseluruhan isi perjanjian agar lebih fleksibel dan adaptif terhadap berbagai kondisi. Meskipun bersifat tambahan, poin ini sering kali menjadi penentu dalam situasi tertentu.
Contohnya:
- Perubahan perjanjian
- Pengalihan hak
- Klausul force majeure
- Keabsahan sebagian klausul
Kelola ribuan data karyawan perusahaan Anda hanya dalam satu dashboard KantorKu HRIS sekarang!
10 Contoh Non Disclosure Agreement di Perusahaan
Berikut 10 contoh non disclosure agreement yang umum digunakan dalam praktik bisnis dan dunia kerja. Masing-masing diawali dengan konteks penggunaan agar lebih mudah dipahami:
1. Contoh Non Disclosure Agreement untuk Karyawan

Contoh non disclosure agreement untuk karyawan digunakan saat perusahaan ingin memastikan bahwa pegawai tidak membocorkan informasi internal selama dan setelah masa kerja.
2. Contoh Non Disclosure Agreement untuk Rekrutmen

Contoh non disclosure agreement untuk proses rekrutmen biasanya diterapkan kepada kandidat yang mengikuti tahap seleksi tertentu dan memiliki akses ke informasi sensitif perusahaan.
3. Contoh Non Disclosure Agreement untuk Kerja Sama Bisnis

Contoh non disclosure agreement untuk kerja sama bisnis digunakan ketika dua pihak atau lebih menjalin kemitraan dan saling bertukar informasi penting.
4. Contoh Non Disclosure Agreement untuk Vendor atau Pihak Ketiga

Contoh non disclosure agreement untuk vendor dibuat saat perusahaan bekerja sama dengan pihak eksternal seperti konsultan, freelancer, atau penyedia jasa.
5. Contoh Non Disclosure Agreement untuk Investor

Contohnon disclosure agreement untuk investor digunakan ketika perusahaan membagikan data bisnis kepada calon investor dalam proses pendanaan.
6. Contoh Non Disclosure Agreement untuk Startup

Contoh non disclosure agreement untuk startup biasanya digunakan untuk melindungi ide, model bisnis, dan inovasi yang masih dalam tahap pengembangan.
7. Contoh Non Disclosure Agreement untuk Proyek Teknologi

Contoh non disclosure agreement untuk proyek teknologi diterapkan saat pengembangan software, aplikasi, atau sistem yang melibatkan banyak pihak.
8. Contoh Non Disclosure Agreement untuk Akuisisi atau Merger

Contoh non disclosure agreement untuk proses merger dan akuisisi digunakan saat perusahaan membuka data penting dalam tahap due diligence.
9. Contoh Non Disclosure Agreement Word

Contoh non disclosure agreement versi ini biasa digunakan untuk pihak perusahaan yang sedang mencari template yang bisa langsung digunakan.
10. Contoh Non Disclosure Agreement PDF

Contoh non disclosure agreement PDF adalah bentuk format lain dari versi Word. Versi PDF ini akan lebih memudahkan Anda dalam hal melihat dan menyimpannya sebagai acuan yang akan digunakan.
Download Contoh Non Disclosure Agreement Gratis!
Jika Anda sedang mencari referensi praktis untuk membuat perjanjian kerahasiaan, menggunakan template yang sudah terstruktur bisa menjadi langkah awal yang tepat.
Dengan format yang jelas dan siap pakai, Anda tidak perlu menyusun dokumen dari nol dan bisa langsung menyesuaikannya dengan kebutuhan bisnis Anda.

Baca Juga: 15 Contoh Surat Keputusan beserta Format & Cara Membuatnya
Risiko Jika Tidak Menggunakan Non Disclosure Agreement
Tidak menggunakan Non Disclosure Agreement (NDA) dalam kerja sama bisnis atau hubungan kerja itu tak lagi tentang kurang rapi secara administrasi, risikonya nyata dan bisa mahal. Tanpa perlindungan tertulis, Anda praktis menyerahkan kontrol atas informasi penting tanpa pagar hukum yang jelas.
Berikut berbagai risiko yang bisa terjadi:
1. Kebocoran Informasi Rahasia
Dalam banyak situasi kerja, informasi sensitif sering kali harus dibagikan untuk kelancaran operasional atau kerja sama.
Namun tanpa NDA, tidak ada kewajiban hukum yang mengikat pihak penerima untuk menjaga kerahasiaan tersebut, sehingga potensi kebocoran menjadi jauh lebih besar.
Dampaknya:
- Data internal tersebar
- Rahasia dagang bocor
- Informasi sensitif jatuh ke pihak luar
- Sulit mengontrol distribusi data
2. Penyalahgunaan Informasi oleh Pihak Lain
Selain risiko kebocoran, informasi yang dibagikan juga berpotensi disalahgunakan oleh pihak yang memang memiliki akses. Tanpa aturan tertulis, tidak ada batasan jelas mengenai bagaimana informasi tersebut boleh digunakan.
Potensi penyalahgunaan:
- Digunakan untuk bisnis pribadi
- Dibagikan ke kompetitor
- Dijadikan keuntungan sepihak
- Dipakai di luar tujuan awal
3. Tidak Memiliki Dasar Hukum yang Kuat
Dalam kondisi terjadi pelanggaran, ketiadaan NDA membuat posisi Anda sangat lemah secara hukum. Tanpa dokumen yang mengikat, akan sulit membuktikan bahwa pihak lain telah melanggar kesepakatan kerahasiaan.
Risiko hukum:
- Sulit menuntut ganti rugi
- Tidak ada bukti kesepakatan
- Posisi hukum lemah
- Sengketa sulit diselesaikan
4. Kehilangan Keunggulan Kompetitif
Informasi strategis seperti rencana bisnis atau inovasi produk merupakan aset penting untuk memenangkan persaingan. Jika informasi ini bocor tanpa perlindungan NDA, kompetitor bisa dengan mudah memanfaatkannya.
Dampaknya bagi bisnis:
- Strategi mudah ditiru
- Inovasi kehilangan nilai
- Posisi pasar melemah
- Kompetitor lebih unggul
5. Kerugian Finansial
Dampak dari kebocoran atau penyalahgunaan informasi hampir selalu berujung pada kerugian finansial, baik secara langsung maupun tidak langsung. Hal ini bisa memengaruhi stabilitas bisnis dalam jangka pendek maupun panjang.
Bentuk kerugian:
- Kehilangan potensi pendapatan
- Biaya pemulihan reputasi
- Kehilangan investor
- Penurunan nilai bisnis
6. Rusaknya Reputasi Perusahaan
Keamanan informasi merupakan bagian penting dari kepercayaan publik. Ketika perusahaan gagal menjaga kerahasiaan data, dampaknya tidak hanya internal, tetapi juga memengaruhi persepsi eksternal.
Dampak reputasi:
- Kepercayaan klien menurun
- Citra perusahaan buruk
- Sulit mendapatkan mitra baru
- Branding terganggu
7. Konflik dan Sengketa Bisnis
Tanpa aturan yang jelas sejak awal, masing-masing pihak bisa memiliki pemahaman yang berbeda terkait penggunaan informasi. Hal ini sering kali menjadi pemicu konflik dalam kerja sama.
Masalah yang bisa muncul:
- Perbedaan persepsi
- Saling menyalahkan
- Konflik berkepanjangan
- Hubungan kerja rusak
8. Kehilangan Aset Intelektual
Ide, inovasi, dan konsep bisnis yang belum dilindungi secara hukum sangat rentan untuk diambil atau diklaim oleh pihak lain. Tanpa NDA, tidak ada batasan yang melindungi kepemilikan ide tersebut.
Risiko yang terjadi:
- Ide dicuri
- Produk ditiru
- Klaim sepihak
- Kehilangan hak eksklusif
9. Penyebaran Data Tanpa Kontrol
Dalam kerja sama yang melibatkan banyak pihak, distribusi informasi bisa menjadi sulit dikendalikan jika tidak ada aturan yang jelas. NDA berfungsi sebagai kontrol, dan tanpa itu, data bisa menyebar tanpa batas.
Dampaknya:
- Data menyebar luas
- Tidak ada kontrol akses
- Informasi sulit ditarik kembali
- Risiko kebocoran berulang
10. Melemahnya Profesionalisme dalam Kerja Sama
Ketiadaan NDA sering kali mencerminkan kurangnya standar profesional dalam sebuah hubungan kerja atau bisnis. Hal ini dapat memengaruhi persepsi pihak lain terhadap kredibilitas perusahaan.
Dampak jangka panjang:
- Kerja sama kurang serius
- Minim kepercayaan
- Tidak ada standar jelas
- Sulit membangun relasi jangka panjang
Peran HRIS dalam Mengelola NDA Karyawan
Mengelola puluhan hingga ratusan dokumen NDA secara manual tentu sangat merepotkan dan berisiko terselip. Di sinilah Anda membutuhkan bantuan teknologi untuk memastikan seluruh administrasi HR berjalan lancar.
Dengan menggunakan sistem digital, cara membuat non disclosure agreement dan mengarsipkannya menjadi jauh lebih terorganisir.
Berikut adalah peran HRIS dalam mengelola NDA karyawan:
1. Digitalisasi Dokumen NDA Lebih Terorganisir
Dengan menggunakan sistem HRIS, cara membuat Non Disclosure Agreement (NDA) dan mengarsipkannya menjadi jauh lebih praktis. Semua dokumen tersimpan dalam satu sistem terpusat, sehingga memudahkan tim HR dalam melakukan pencarian, monitoring, hingga pembaruan dokumen kapan saja dibutuhkan.
2. Penyimpanan Terpusat Melalui Database Karyawan
Anda dapat memanfaatkan fitur database karyawan dalam HRIS untuk menyimpan seluruh dokumen penting, termasuk NDA, kontrak kerja, dan dokumen pendukung lainnya. Sistem ini membantu memastikan tidak ada dokumen yang tercecer dan semua data tersimpan dengan aman dalam satu platform.
3. Akses Mudah dengan Employee Self Service
Melalui fitur employee self service, karyawan dapat mengakses dokumen NDA yang telah mereka tandatangani kapan saja. Hal ini memudahkan mereka untuk meninjau kembali isi perjanjian kerja tanpa harus meminta salinan ke tim HR, sekaligus meningkatkan transparansi dalam hubungan kerja.
4. Solusi Awal hingga Sistem Terintegrasi
Bagi perusahaan yang baru memulai digitalisasi, menggunakan aplikasi database karyawan gratis bisa menjadi langkah awal.
Namun, untuk kebutuhan jangka panjang dan skalabilitas, penggunaan HRIS yang terintegrasi jauh lebih direkomendasikan karena mampu mengelola berbagai aspek HR secara menyeluruh.
5. Integrasi dengan Operasional HR Lainnya
HRIS tidak hanya membantu dalam pengelolaan NDA, tetapi juga terintegrasi dengan sistem lain seperti absensi online. Dengan integrasi ini, data karyawan mulai dari kehadiran hingga dokumen legal, akantersimpan dalam satu ekosistem yang aman dan akurat.
Sistem HRIS juga dapat disesuaikan dengan kebutuhan industri Anda, baik itu hris untuk industri manufaktur, hris untuk industri konstruksi, maupun hris untuk industri logistik. Dengan sistem yang tepat, Anda tidak hanya menjaga rahasia perusahaan melalui NDA, tetapi juga mengoptimalkan seluruh manajemen SDM secara efisien.
Kelola Database Karyawan Karyawan Lebih Praktis & Aman lewat KantorKu HRIS!
Menjaga kerahasiaan informasi melalui non disclosure agreement template adalah langkah awal yang cerdas, namun mengelola dokumen tersebut bersama ribuan data karyawan lainnya membutuhkan solusi yang lebih mumpuni. Jangan biarkan administrasi HR yang manual menghambat pertumbuhan bisnis Anda.
Jika Anda membutuhkan KantorKu HRIS yang mempermudah pekerjaan HR mulai dari absensi, payroll, hingga manajemen KPI dan database karyawan, ini adalah solusinya.
Sudah saatnya Anda beralih dari cara-cara konvensional yang berisiko. Klik aplikasi HRIS sekarang juga ketika terbesit untuk beralih ke sistem digital yang lebih aman, praktis, dan terintegrasi untuk masa depan perusahaan Anda yang lebih baik.
Otomatisasi pemberkasan kontrak karyawan baru secara sistematis hanya dalam satu dasbor KantorKu HRIS.
Sumber:
Wouters, O. J., McKee, M., & Luyten, J. (2019). Transparency in pharmaceutical pricing and the impact of confidentiality agreements. International Journal for Equity in Health, 18(1).
Sahide, M. A. K. (2025). Legal validity of non-disclosure agreements based on the principle of pacta sunt servanda. Amsir Law Journal.
Related Articles
15 Contoh Purchase Order Lengkap PDF Excel, Word (+Template Gratis)
3 Purchase Request Form yang Sering Dibutuhkan Perusahaan