5 Contoh SOP Perusahaan [Gratis Download]
Contoh SOP Perusahaan Jasa harus memuat alur layanan, standar kerja, tanggung jawab, dan prosedur evaluasi agar operasional berjalan efisien.
Table of Contents
Contoh SOP perusahaan jasa menjadi acuan penting bagi setiap organisasi layanan untuk memastikan setiap aktivitas berjalan terarah, konsisten, dan sesuai standar mutu yang ditetapkan.
Dalam dunia bisnis jasa yang berfokus pada pengalaman pelanggan, kecepatan respons, dan kualitas hasil kerja, keberadaan SOP bukan hanya dokumen administratif, melainkan fondasi bagi profesionalisme tim.
Melalui SOP, setiap divisi mulai dari operasional, customer service, hingga keuangan, memiliki pedoman kerja yang jelas dalam memberikan layanan terbaik kepada klien.
Dengan penerapan yang tepat, SOP dapat meningkatkan efisiensi, mengurangi kesalahan, serta menjaga reputasi perusahaan di mata pelanggan.
Di bawah ini, Anda akan menemukan berbagai contoh SOP perusahaan jasa yang paling sering digunakan dan relevan untuk berbagai bidang layanan.
Yuk, pelajari satu per satu agar Anda bisa menyesuaikannya dengan kebutuhan bisnismu.
Apa Itu SOP Perusahaan Jasa?

SOP perusahaan jasa adalah panduan tertulis dan terperinci yang memuat langkah-langkah, alur kerja, dan aturan baku yang harus diikuti oleh seluruh karyawan dalam menjalankan tugas-tugas operasional sehari-hari di perusahaan yang bergerak di bidang jasa.
Dokumen ini menjelaskan apa yang harus dilakukan, bagaimana melakukannya, kapan, di mana, dan siapa yang bertanggung jawab untuk setiap kegiatan, mulai dari proses awal hingga hasil akhir layanan.
Contoh studi dari Barts Health menunjukkan bahwa penerapan SOP yang baik dapat mengurangi temuan inspeksi hingga 50% dan mempercepat proses persetujuan, dengan praktik terbaik meliputi konsistensi, pelatihan menyeluruh, penggunaan bahasa jelas, dan teknologi manajemen SOP digital.
Contoh SOP perusahaan jasa bisa mencakup berbagai prosedur, seperti:
- SOP Pelayanan Pelanggan (misalnya, SOP penanganan keluhan pelanggan)
- SOP Pengadaan Barang dan Jasa
- SOP Pemasaran dan Penjualan Jasa
- SOP Rekrutmen Karyawan
- SOP Internal Audit
- SOP Keuangan, dan lainnya.
Bagi Anda yang mencari referensi, ketersediaan contoh sop perusahaan jasa pdf, sebaiknya simak artikel ini sampai akhir. Karena di akhir dari penjelasan ini, kami akan membagikan contoh SOP perusahaan jasa pdf free download untuk Anda.
Kenapa SOP Perusahaan Jasa Sangat Penting?
Sebagai business owner, penting bagi Anda untuk menyadari bahwa SOP bukan hanya sekadar dokumen formalitas, melainkan aset strategis yang memberikan banyak manfaat, antara lain:
1. Menjamin Konsistensi Kualitas Layanan
Di perusahaan jasa, kualitas layanan adalah segalanya. SOP perusahaan jasa memastikan setiap karyawan menjalankan proses kerja dengan cara yang seragam dan standar, sehingga layanan yang diterima pelanggan selalu konsisten dan sesuai ekspektasi.
2. Meningkatkan Efisiensi dan Produktivitas
Dengan panduan yang jelas, karyawan tidak perlu menebak-nebak atau membuang waktu untuk mencari tahu cara terbaik menyelesaikan pekerjaan. Alur kerja yang sudah dibakukan dalam SOP akan meminimalkan kesalahan dan duplikasi tugas, yang pada akhirnya meningkatkan efisiensi.
3. Memudahkan Pelatihan Karyawan Baru
SOP perusahaan jasa dapat berfungsi sebagai kurikulum pelatihan yang praktis. Karyawan baru dapat dengan cepat memahami tanggung jawab dan prosedur kerja mereka, mempersingkat masa adaptasi, dan segera berkontribusi secara optimal.
Baca Juga: 8 Alasan Izin Tidak Masuk Kerja & Pentingnya SOP [+ Tips HRD Menyikapinya]
4. Menjadi Dasar Pengambilan Keputusan dan Evaluasi
Selain itu, SOP perusahaan jasa adalah tolak ukur kinerja, yang jika terjadi penyimpangan atau masalah, maka SOP menjadi dasar untuk melacak akar masalah, melakukan koreksi, dan mengevaluasi kinerja tim.
5. Mendukung Skalabilitas Bisnis
Ketika bisnis jasa Anda berkembang, SOP perusahaan akan memungkinkan Anda menduplikasi kesuksesan operasional di berbagai cabang atau tim baru tanpa kehilangan kualitas.
Hal ini juga sangat penting, misalnya, untuk standar seperti sop pengadaan barang dan jasa yang harus diikuti di semua unit kerja.
6. Meminimalkan Risiko Hukum dan Finansial
Prosedur yang jelas membantu memastikan kepatuhan terhadap regulasi dan kebijakan internal, mengurangi risiko kesalahan operasional yang bisa berujung pada kerugian finansial atau masalah hukum.
Anda dapat mulai menyusun atau menyesuaikan SOP dengan melihat referensi yang tersedia. Memiliki contoh sop pengadaan barang dan jasa yang terstruktur, misalnya, adalah langkah awal yang baik untuk menertibkan proses pembelian di perusahaan Anda.
Contoh SOP Perusahaan
Berikut ini adalah beberapa contoh SOP perusahaan jasa yang paling umum diterapkan di berbagai bidang layanan.
Setiap SOP berfungsi untuk menjaga konsistensi, kualitas, dan efisiensi operasional dalam menjalankan aktivitas perusahaan sehari-hari.
1. Contoh SOP Perusahaan Jasa Pelayanan Klien & Delivery Service (Divisi Operasional)

Dokumen ini menjadi panduan bagi tim operasional dalam memberikan layanan kepada klien secara konsisten, profesional, dan sesuai standar mutu perusahaan.
2. Contoh SOP Perusahaan Jasa Customer Service
SOP ini memastikan setiap keluhan pelanggan ditangani dengan cepat, tepat, dan solutif guna menjaga kepuasan serta citra positif perusahaan.

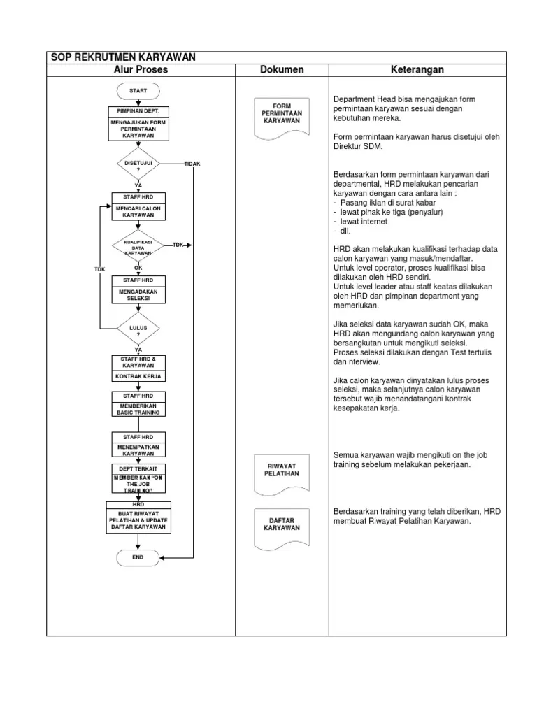
3. Contoh SOP Perusahaan Jasa Rekrutmen & Onboarding Karyawan Baru

Dokumen ini mengatur alur penerimaan dan penyesuaian karyawan baru agar proses rekrutmen berjalan efisien dan hasilnya selaras dengan kebutuhan perusahaan.
Baca Juga: Panduan Menyusun SOP Rekrutmen Karyawan Baru untuk HRD
4. Contoh SOP Perusahaan Manajemen Proyek & Jadwal Layanan

SOP ini memberikan pedoman bagi tim dalam merencanakan, melaksanakan, dan mengawasi proyek layanan agar tepat waktu dan sesuai target.
5. Contoh SOP Perusahaan Jasa Keuangan

Dokumen ini mengatur mekanisme pengeluaran operasional sehari-hari agar penggunaan dana perusahaan tetap terkontrol dan transparan.
Baca Juga: 7 Contoh SOP Reimbursement, Boleh Langsung Copas!
Ingin Download Contoh SOP Perusahaan Jasa?
Silakan Isi Form di Bawah Ini
Optimalkan Penerapan SOP Perusahaan Jasa dengan KantorKu HRIS Hari Ini!
Menyusun dan menerapkan SOP perusahaan jasa hanyalah langkah awal, tantangan sesungguhnya ada pada konsistensi pelaksanaannya di lapangan. Di sinilah Software KantorKu HRIS hadir membantu.
KantorKu HRIS memudahkan Anda dalam mengatur alur kerja, absensi, penilaian kinerja, hingga dokumentasi prosedur operasional dalam satu sistem terintegrasi.
Beberapa fitur yang disebut sebagai keunggulan KantorKu HRIS antara lain:
- Absensi berbasis GPS & selfie, shift management, real-time tracking kehadiran.
- Payroll otomatis: perhitungan gaji, potongan PPh 21, BPJS, tunjangan, slip gaji digital.
- Recruitment & ATS (Applicant Tracking System): filter kandidat, integrasi LinkedIn, AI screening.
- Performance management: OKR/KPI monitoring, appraisal 360°, dashboard analitik.
- Employee Self-Service (ESS): karyawan bisa mengajukan cuti/lembur, melihat slip gaji, memperbarui data diri mandiri.
Dengan KantorKu HRIS, setiap divisi dapat menjalankan SOP dengan lebih disiplin, transparan, dan efisien tanpa harus bergantung pada dokumen manual.
Mulailah bertransformasi ke sistem kerja yang lebih rapi dan otomatis, karena SOP yang baik butuh dukungan teknologi yang tepat.
Coba KantorKu HRIS hari ini dan rasakan bagaimana penerapan SOP perusahaanmu jadi lebih mudah, cepat, dan terukur.
Sumber:
Barts Health. Standard Operating Procedures (SOPs).
Related Articles
Cara Mengambil Data Absen dari Fingerprint Solution dengan Flashdisk di Komputer & Laptop
Apa Itu Payroll Staff? Tugas, Skill, & Tools yang Sering Dipakai

